Subsections of The Stack Is Deep
legal
Just a few legal things
Subsections of legal
Privacy policy
Last updated: 8 Jun 2024
- Introduction
Welcome to Stackisdeep. Your privacy is important to me. This Privacy Policy explains how I collect, use, and disclose your information when you use Stackisdeep services.
- Information I Collect
Non-Personal Data: I collect non-personal information that cannot be used to identify you. This includes anonymized and aggregated data. IP Addresses: I only store truncated versions of IP addresses to ensure your privacy. These truncated IP addresses do not allow me to identify individual users.
- How I Use Your Information
To Provide Services: I use the information collected to operate and improve the DSP and SSP services. Analytics and Performance Monitoring: Truncated IP addresses are used for analytics purposes to monitor and analyze trends, usage, and activities.
- Information Sharing and Disclosure
Service Providers: I may share your information with third-party service providers who assist in operating the services. These providers are obligated to keep your information confidential and use it only for the purposes for which it was disclosed. Legal Requirements: I may disclose your information if required to do so by law or in response to valid requests by public authorities.
- Security
I take reasonable measures to protect the information I collect from loss, theft, misuse, and unauthorized access, disclosure, alteration, and destruction.
- Changes to This Privacy Policy
I may update this Privacy Policy from time to time. I will notify you of any changes by posting the new Privacy Policy on this page. You are advised to review this Privacy Policy periodically for any changes.
- Contact Me
If you have any questions about this Privacy Policy, please contact me at stackisdeep@gmail.com.
- Third-Party Authentication
I use Google OAuth to provide authentication services for registration and login. By using Google OAuth, you are authorizing me to access certain information from your Google account, such as your email address, name, and profile picture. This information is used solely for the purpose of creating and managing your account with my services.
- How Google Uses Your Data
Google’s Privacy Policy governs the use of information collected by Google when you use Google OAuth. I encourage you to review Google’s Privacy Policy to understand how they handle your data.
- Your Consent
By using Google OAuth for authentication, you consent to the collection and use of your information as described in this Privacy Policy.
Terms of service
Last updated: 8 Jun 2024
- Acceptance of Terms
By accessing and using the services provided by Stackisdeep, you agree to comply with and be bound by these Terms of Service. If you do not agree with these terms, you are not authorized to use my services.
- Use of Services
Eligibility: You must be at least 21 years old to use my services. Account Responsibilities: You are responsible for maintaining the confidentiality of your account and password and for all activities that occur under your account.
- Prohibited Uses
You agree not to use my services for any unlawful purpose or in a way that violates these Terms of Service. Prohibited uses include, but are not limited to:
- Engaging in fraudulent activities.
- Distributing malware or other harmful code.
- Attempting to interfere with the proper functioning of the services.
- Intellectual Property
All content, trademarks, and data on Stackisdeep are my property or the property of my licensors. You agree not to reproduce, duplicate, copy, sell, or exploit any portion of the service without express written permission from me.
- Termination
I reserve the right to terminate or suspend your account and access to my services, without prior notice or liability, for any reason, including if you breach these Terms of Service.
- Disclaimer of Warranties
My services are provided “as is” and “as available” without any warranties of any kind, whether express or implied. I do not warrant that my services will be uninterrupted, secure, or error-free.
- Limitation of Liability
To the maximum extent permitted by applicable law, in no event shall I be liable for any indirect, incidental, special, consequential, or punitive damages, including without limitation, loss of profits, data, use, goodwill, or other intangible losses resulting from your use of my services.
- Governing Law
These Terms of Service shall be governed by and construed in accordance with the laws of [Your Jurisdiction], without regard to its conflict of law principles.
- Changes to These Terms
I may modify these Terms of Service from time to time. I will notify you of any changes by posting the new Terms of Service on my website. Your continued use of the services after any such changes constitutes your acceptance of the new Terms of Service.
- Contact Me
If you have any questions about these Terms of Service, please contact me at stackisdeep@gmail.com.
- Third-Party Authentication
My services allow you to register and log in using Google OAuth. By choosing to use Google OAuth, you agree to abide by Google’s terms of service and privacy policies in addition to these Terms of Service.
- Data Collected via Google OAuth
When you use Google OAuth to access my services, I will collect certain information from your Google account, such as your email address, name, and profile picture. This information will be used to create and manage your account.
- Limitation of Liability for Third-Party Services
I am not responsible for any issues that may arise from your use of third-party authentication services like Google OAuth. Your interactions with these services are governed by the terms and conditions of the respective third-party providers.
Notes
Subsections of Notes
Heystack aka needleheap, Facebook object storage for photos
Based on this Facebook needleheap paper.
Numbers
Facebook stores 4 different sizes of photo for a single photo upload. They use 3x replication factor, so every photo upload results in storing 12 files.
They noticed that file lookup in a directory with 1000 of files is slow, and limited directory size to 100.
Other numbers

Most recently written files have a high probability being read. 25% of files are removed within a year.
Lots of reads occur inside of a few first days, but there’s a very long tail.
System design
Write:
The directory maintains the logical volumes_machines_file id. (Note 3 arrow, signifying 3 synchronous writes)
The store consists of append-only volumes, with index files laying nearby.
Volume file consists of header (no details), and records they call “needles” for no good reason. Each record consists of file size, file itself, whether the file was deleted, and ID.
Writes to volumes are append-only, the files are preallocated thanks to XFS, the server keeps file handlers open to each volume. Writes to volumes are very synchronous: the disk buffer is disabled.
The writes to index file are asynchronous. No delete info is in the index file.
The api is : put, get, delete.
Rewrite
The object can be rewritten by put operation.
If it’s in the same volume, it will be appended, and deleted space will be compacted in the future.
If it’s on a different volume (say, if the file is old, and resides on write-only volume), it’s unclear whether the delete photo space will ever be reclaimed:
It seems that this paper doesn’t really go into details of GDPR compliance.
Recovery
Everything can be rebuilt from volume files.
You can restart from index files.
An elegant solution: when server is restarted, the volume files need to be scanned for the writes that didn’t get into index files, but only after the last offset recorded in the index file. Otherwise, the index files can be used for fast restart.
Index file contains the id and offset, couple of other fields.
Failure recovery is mostly manual.
Wrong name
Their haystack consists of needless. It’s a needle heap.
System Design
Subsections of System Design
Demand Side Platform
Subsections of Demand Side Platform
Artisan vs Optimizable Targetings
Demand-Side Platforms (DSP) and AdExchange targetings can get really complex really fast, especially when your DSP or AdExchange starts implementing machine learning features like CTR optimization and CPC bidding strategies. But when you’re just starting, it’s very easy.
The Artisan Approach to Targeting
You add geo-targeting. Some domain targetings. Some app targetings. Device type (phone/tablet/CTV), OS, browser, OS version. Device brand and make.
But then it gets a bit more evolved. Custom targeting for battery level, connection type—what have you.
Also, creatives need targetings too. VPAID video creatives will need protocol support and supported media types checked, bitrates validated, length of the video. Even more involved for display creatives: Do we need MRAID support? Do we match on exact dimensions or will bigger ones work just as well for us?
The same thing applies to DSP-wide filtering of traffic—all those dozens of blocklists: domains, apps, CIDRs and individual IPs, user agents of crawlers, and publisher IDs.
And if you’re starting from scratch or inherited a well-established bidder, it’s very likely that each targeting is carefully coded from scratch—all the way from UI frontend, UI backend, config update, ingestion, and implementation in the bidder.
I call it an artisan approach—carefully handcrafted parts intricately woven together to deliver a luxury experience. This is one way to go. It works.
Targetings And Time
But with time, what tends to happen is that the number of campaigns grows fast. At first, it’s hundreds, and after just a few short years, it’s already thousands. The number of targetings grows. They start to take more time in the flame graph or CPU time top in pprof. And you notice that the structure of targetings is quite stable, but with time and new SSPs, targetings start to contain an enormous amount of business logic about variations between SSPs.
Usually, they are evaluated one campaign at a time, going through all of the targetings, all the way down. And the main optimization is to put on top of the funnel the “cheap” ones or the ones that would filter out most of the campaigns (think device type, or is it video, or is it in-app/web, mobile/desktop, etc.).
Patterns in Targetings
So what is an alternative?
Well, it’s easy to start noticing that targetings have a very regular structure that really stems from the fact that we match a value at different paths in an OpenRTB object to the campaign requirements.
Most targetings are about checking inclusion of a particular field in a set. Think domain allowlist of a campaign or a set of device types (phones, tablets) that the campaign is targeting.
Sometimes it’s a “negative targeting,” which is about checking if a field does not match.
And most fields are ints, strings, or lists of strings and ints. Rarely are these boolean types or floats.
I’m pretty sure you can see where I’m going with this.
Optimizable Approach to Targeting
Yes. Autogenerate all the targetings. They are going to be simple. But it’s possible to get them for literally every field.
There are nuances, as usual. Geo is usually about a hierarchy. There’s London, Ontario, and London, UK. These are two very different Londons. There’s Vancouver, BC, and Vancouver, WA. These things are important.
And if your DSP implements geofencing/supergeo targeting that is based on user coordinates, that’ll be inevitably complex.
So while the autogenerated targetings work fine, you will have to accommodate custom ones. Which would be wise, given that pacing, budget capping, and predictive targetings will have to be a part of a campaign’s filtering funnel.
Simplifying the Filtering Funnel
Usually, the filtering funnel is very simple, just a logical AND between conditions:
targeting1 AND targeting2 AND targeting3...
That’s simple enough. Sometimes you can throw in an OR.
And strictly speaking, if you go for autogenerated targetings with well-defined interfaces, implementing arbitrary logical expressions becomes possible.
In practice, a simple chain of targetings with “AND” works just fine. And also, arbitrary formulas are hard to represent in the UI—or rather, hard to have a good UX with these formulas.
Exploring Logical Expressions in Targetings
On the other hand, that opens interesting possibilities:
For the geo matching above, we can actually represent targeting as:
(device.city == 'London' AND device.region == "Ontario" AND device.country == "Canada") OR (...)
And of course, the representation of targetings doesn’t need to look like that—at all.
{
"targeting": {
"Or": {
"conditions": [
{
"And": {
"conditions": [
{
"StringListMatch": {
"path": ".device.geo.city",
"match": [
"London"
]
}
},
{
"StringListMatch": {
"path": ".device.geo.region",
"match": [
"Ontario"
]
}
},
{
"StringListMatch": {
"path": ".device.geo.country",
"match": [
"Canada"
]
}
}
]
}
}
]
}
}
}
But this particular approach with the arbitrary targeting formulas can be unnecessarily complicated and lead to optimizing trees of logical expressions. I think it might be optimized in simpler ways if we stick to a classical targeting filtering funnel with a single AND between a long list of matching predicates.
{
"targeting": {
"And": {
"conditions": [
{
"IntListMatch": {
"path": ".device.devicetype",
"match": [
1,
4,
5
]
}
},
{
"IntListMatch": {
"path": ".at",
"match": [
2
]
}
},
{
"StringListMatch": {
"path": ".device.os",
"match": [
"iOS"
]
}
}
]
}
}
}
Sorry for the verbose listing, but you can see that this can be very easily deserialized from JSON and evaluated as fast as “artisan” targetings (well, if we don’t go fancy into arbitrary logical formulas).
Optimizing Targetings
I call this approach “optimizable” rather than autogenerated because this kind of regular structure lends itself naturally to optimization.
As an example, in a logical AND at runtime, we can, with some sampling, measure how long each of the condition evaluations takes and how frequently they reject the request.
And we can order conditions in the logical AND expression by the expected rejection cost: P(reject) * CPU time, to get the cheapest rejects to the top of a filtering funnel.
Individual targetings can be optimized as well in an automated manner, especially those with low cardinality. And geo might deserve special treatment, after all.
And this is what I want to talk about next time.
Optimizing Targetings
One of the oldest ideas for the optimization of targetings is to use reverse indices.
I worked in a few companies over 15 years ago, and they utilized it to their benefit. But the first time I read about it, though, was in an O’Reilly book on the use of Redis, just a few years ago. You can look it up there.
However, here it is with a very simple approach.
Campaign Example
Imagine that you have an ad network that has only demographic information about the users, and campaigns use age and gender targeting.
(And this is a formulation I had when I interviewed for my first adtech job, where I was able to come up with a concept by the end of a 4-hour interview. And I’m still grateful to this company and the amazing people I met there.)
So let’s talk about the campaigns for a while.
- Campaign 1 targets male audience between ages 35 and 40.
- Campaign 2 targets people between 21 and 40.
- Campaign 3 has no targetings (it’s a catch-all campaign).
And there are 10k campaigns like that.
So what would be an efficient way to match campaigns, so that we can choose between them?
Creating Reverse Indices with Bitsets
The answer is simple. We create reverse indices!
For age:
- 21 → bitset of campaigns targeting 21-year-olds
- 22 → bitset of campaigns targeting 22-year-olds
- …
- 40 → bitset of campaigns targeting 40-year-olds
- And, a bitset of campaigns that have no age targeting
For gender:
- male → bitset of campaigns targeting male audience
- female → bitset of campaigns targeting female audience
- other → bitset of campaigns targeting ‘other’ audience
- And, a bitset of campaigns that have no gender targeting
When we create bitsets, for simplicity, we can just assume that we have 10k campaigns, and they are numbered from 0 to 9999. And when campaigns 1 and 2 target 36-year-olds, the bits 1 and 2 will be set in a 10k-bit-long bitset.
Applying Targetings
So let’s say we have a 22-year-old male. To find all the campaigns that match, we just need to do two things:
-
Find these bitsets:
- Bitset for 22-year-olds (
bitset(age, 22)) - Bitset for campaigns without age targeting (
bitset(age, any)) - Bitset for campaigns targeting male audience (
bitset(gender, male)) - Bitset for campaigns without gender targeting (
bitset(gender, any))
- Bitset for 22-year-olds (
-
Apply targetings:
(bitset(age, 22) | bitset(age, any)) & (bitset(gender, male) | bitset(gender, any))
And because vectorized bit operations are a part of many processors’ instruction sets, and the operation of creating bitsets only happens on config load, this is a ridiculously efficient way of evaluating targetings.
Extending to Geolocation Targeting
And for geo, what we’d get for New York City, NY, US:
(bitset(city, NYC) | bitset(city, ANY)) & (bitset(region, NY) | bitset(region, ANY)) & (bitset(country, US) | bitset(country, ANY))
Seems very straightforward. What gives?
Well, 10k campaigns make about a 1KB bitset. 10k cities will be about 10MB in memory, which isn’t that bad.
And this seems to work perfectly for the fields with lower cardinality.
High-Cardinality Fields
However, there are fields with higher cardinality.
Domains, apps, etc.
These might require gigabytes of memory.
My answer to this is: if we filter out SOME of the campaigns and then apply targetings, that’d be good enough.
And so with certain field value distributions, simple hash-based buckets can work quite nicely.
Meaning, we decide from the start how many bitsets we are ready to maintain for a specific field, and assign campaigns to bitsets based on a hash of the field value modulo the number of buckets.
So with this approach, bitsets will contain campaigns that might match the field.
The success of this will mostly depend on the distribution of targetings, with the worst case being having a lot of values being in all of the campaigns (e.g., a super popular allowlisted domain).
But if you have a lot of these high-cardinality fields with a very unfortunate distribution of values in targetings, and if you filter out 10–15% of campaigns on each of them, this will very positively compound.
There can be other approaches to a more intelligent assignment of bitsets to values. Again, even with a very high-cardinality field, it’s easy to maintain a reverse index hashmap with a million values pointing to just a handful of bitsets. And if we go for filtering rather than exact matching approach here, we can actually have an array of references to bitsets, or just an index of a bitset. E.g., we don’t have to store the value of the field, because hash collision is fine, since we are going to evaluate targetings exactly anyway.
Let’s talk about something more fun next time, like pacing!
Latency
I’m going to tell you a sad story in 4 sentences.
This story is as old as a startup world.
- You write a little app with one redis as kv store, and everything works fine.
- You blink
- … and you now have 10.
- …. And you access them all sequentially, one-by-one on every request.
So let’s talk about how do we measure latency, why sequential calls are not great, and what we can do about it.
Subsections of Latency
How do we measure latency
When we try to measure a latency to backend, including Redis, we would see a chart similar to this one:

We often simplify things, saying that it’s a “lognormal” distribution, but if you try to fit lognoram distribution, you will find that real-world distribution has a very unplesant tail that doesn’t really want to be fitted.
However, lognormal distribution is sure much prettier to look at:

Since we started speaking of tails, how do we measure one?
Easy! We can sort all our measurements, count 50% lowest latencies, and ask what is the highest latency for this group? We would also want this number of 50, 95, and 99 percentile, and sometimes 99.9. For shortness, we call it p50, p95, p99.

Poorly fitted, but much prettier chart for lognormal distribution looks like this:

Overall p99 latency
When you show p99 over time for different backends it would most likely look something like this, if the servers have different loads:

When there are a lot of lines in there, fight the urge to average over p99. It sure looks prettie:

Howeer, it destroys information about load balancing among your servers.
One of the “right ways” to calculate system’s p99 latency is by using a sample of latencies across the system. But this can be burdensome.
May be the way is not to calculate it at all.
A good reason not to use average is to think about a couple of situations where averaging will give a very wrong results:
High p99 in part of the system
| Node | Latency | RPS |
|---|---|---|
| Node 1 | 100 ms | 1000 |
| Node 2 | 200 ms | 1000 |
If you sort their latencies, most likely, second node’s latencies would be so far to right compared to the first one, and the overall latency would be dominated by the second node. So the “true” p99 would be 200ms, but the average is just 150ms. Not great.
Unbalanced load
A second case, if you have unbalanced load profile, where one (some) of your nodes handle a higher load. That easily can happen in heterogeneous system with baremetal servers.
Consider two nodes from our distribution
| Node | Latency | RPS |
|---|---|---|
| Node 1 | 151 ms | 1000 |
| Node 2 | 78 ms | 10000 |
The average of that is (151+78)/2 = 114.5. But in reality, that can be just 80 ms, because Node 1 with high RPS would “dominate” the distriubiton.
Latency: from linear growth to exponential decay with number of backends
We’ve already discussed how do we measure latency and that we use p95, p99, and sometimes p999.
Let’s look at what happens when we have multiple backends. For simplicity, I’m going to use the same latency profile for all backends.
And you can think of these backends as redises.
Sequential access is not great.
Imagine that when request comes we handle it like this:
- Some logic
- Access microservice
- Some extra logic … N. response

In this case, tail latencies will stack up in an expected linear manner.

Can we do anything about it?
Yes, we can! If we can refactor our app to make parallel calls to all downstream microservices in parallel, our IO latency would be capped by the slowest response of a single service!

In that case, tail latency would grow roughly logarithmically with the number of backends:

If we look at what sequential IO gives us, the picture becomes clearer:

It still slower than having just 1 microservice to access, but it’s a very significant positive change.
Can we do something more about it?
Parallel microservices access
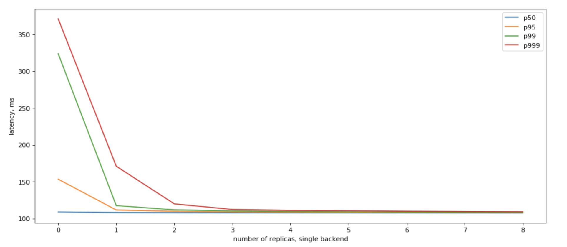
Yes, we can! If we can use multiple replicas, we can do parallel calls to all of them, and when we recieve the fastest answer, cancel all other in-flight requests, we would have a vey nice p99

Please also note, that we get the most results by having just a few (3) read replicas.
Improving sequential microservices access
So for cases when we can’t change the sequetial matter of our code, we can add read replicas, and expect some imporovement, if we send requests to all read replicas in parallel, and as soon as we get first one (i.e. the fastest one), we go on.

In general, looks like for practical purposes and a single backend, it does quite well at 2 read replicas.
But it’s not great.

Improving parallel microservices access
If you call multiple read replicas in parallel, you would get a remarkable improvement in terms of latency.

There are a few points to consider:
- We are already fast with parallel calls. Do we need to be faster? Is it worth it?
- We likely have replicas for fault tolerance. Can we use them as read-only replicas?
- Network overhead. If you are close to network stack saturation on your nodes, does it make sense to double or triple the load?
